PRL | 非线性耦合系统中的多稳态设计与调控
导读
近日,本校合作团队在非线性动力学领域取得重要进展,首次理论预言并实验实现了一种由非线性耦合诱导的多稳态及其选择性激发。该工作设计了一个具有非线性耦合的二能级系统,使其支持“低、中、高”三个稳定状态。系统在常规驱动下会“跳过”中间态,系统响应呈现非线性动力学中典型的S型曲线特征:即常规驱动只能诱导系统在相邻态之间的跃迁。进一步地,团队发展出一种绝热控制方法,成功实现了对所有稳态(包括难以企及的中间态)的完全激发与操控。相关工作以“Nonlinear Coupling Induced Anomalous State Transfer and Complete Multistate Excitation via Adiabatic Control”为题,发表在Physical Review Letters上,并被选作“Editors’ Suggestion”。陈召宪博士(现为南京大学先进制造学院准聘助理教授)和2025级直博生茹意为论文共同第一作者,陈泽国副教授和陆延青教授为论文共同通讯作者。卢明辉教授和陈延峰院士提供了重要指导,博士生贺广臣提供了实验协助。
研究背景
在最简单的情形下,一个系统会线性地响应外加驱动。比如说,一个普通的声学腔体里,随着输入扬声器的功率缓缓调高,腔内的声强也就跟着平滑上升。在这种线性世界里,系统只有一个稳态,用一条笔直的斜线就能画出来。但一旦非线性效应变得不可忽略,故事就开始复杂起来:系统不再“老老实实”只给你一个响应,而是可能在多个稳态之间选择。许多物理系统并不只满足于一种稳态,比如双稳态会出现在各类非线性谐振系统中——比如铁磁体,或者细胞中的基因翻转开关。通过缓慢地调高或调低某个驱动参数,这些系统可以被“带入”不同的稳态分支(即不同的stable states 或“branches”),就像顺着同一条控制旋钮,却能通向截然不同的最终状态。
态的激发取决于它从哪里出发、又是按照怎样的驱动“路线图”被推着走的。在教科书的经典图像中,这种双稳性常常被画成一条S 形的响应曲线:这条“S”字的上支、中段和下支分别对应三个不同的定态(steady state)。中间那一支通常是不稳定的,于是当我们按照常规办法来回扫动驱动参数时,系统实际上只会在上、下两支之间跳变,沿着它们构成的滞回回线周而复始地循环。
如果一个系统能稳定地“驻留”在三种乃至更多状态上(多稳态),同一器件就能承载更高的信息密度,面向高容量存储、加密通信和类脑计算等应用大有可为。难点在于:怎样把多稳态做得稳定可控,并厘清不同状态之间何时、如何切换。尤其在非线性体系中,还会涌现所谓的“隐藏态”——数学上稳定,却被常规扫参轻易错过。我们的工作正是基于此背景。我们利用非线性耦合并缓慢调节外部驱动,重塑吸引域、实现隐藏态的可控与稳定激发,从而实现可编程、可重复的多稳态切换。
研究亮点
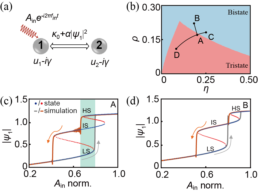
团队首次提出了一个极简的非线性耦合二聚体模型(图1 a),其耦合为κ0 α|ψ1|2,随一号腔的波幅非线性变化。一个设计核心要点是,该耦合可从正耦合翻转为负耦合(κ0 > 0, α < 0)。研究发现,这一特殊的非线性耦合使系统在特定参数下由双稳态变成三稳态(包括低态LS、中间态IS和高态HS),相图见图1b。令人惊讶的是,在三稳态系统中,当缓慢增大驱动强度时,系统并未如常规非线性系统那样依次从LS跃迁至IS再到HS (图1d),而是从LS直接跳变到了HS,完全“绕过”了理论上存在的IS (图1c),即阴影标记的IS在常规驱动协议下是隐藏的。

图1 a,非线性耦合系统,耦合随|ψ1|增大而由正变负。b, 系统相图,支持双稳态或三稳态。(c)反常多稳态跃迁:LS→HS→IS→LS,阴影区域为隐藏的中间态。(d)两个双稳态级联系统,跃迁规则:LS→IS→ HS→IS→LS。
为了实验验证此系统的动力学规律,团队设计了一个基于可编程反馈电路耦合的声学腔系统。其耦合随一号腔的声场强度非线性变化,并可从正耦合翻转为负耦合。我们采用了两种驱动协议(图2a),首先是传统的“up-down”的绝热驱动方式,验证了该系统中的三稳态反常跃迁(图2b):当缓慢增大驱动强度时,系统从LS直接跳变到了HS,完全“绕过”了理论上存在的IS。这是由系统不同稳态的吸引域拓扑特性所决定(图2d 和e)。为了实现“隐藏”的中间态的激发,团队巧妙地设计了第二种“up-down-up”的绝热驱动方式。如图2c所示,该方法像一位熟练的导航员,引导系统轨迹安全穿过复杂的相空间地形,最终稳定地激发了所有三个稳态,实现了对多稳态的完全控制。
图 2(a) 两种调控激励源强度的驱动协议。 (b) 协议I略去了阴影处隐藏的中间态。(c)协议II稳定激发了隐藏的中间态。(d, e) 临界点处,稳态吸引域分布。
该工作另一个重要的创新点在于,尽管这个二能级模型是非常简单的,它仍然具备极其丰富且实验可控的自由度。如图3所示,可以通过调控源的输入频率,或者腔的损耗,系统可以在多个相之间切换。这大大地拓展了参数旋钮的类型。
图3 系统多稳态随驱动频率和腔损耗γ具有丰富的可调性。
总结与展望
借助非线性耦合与缓慢驱动,我们首次把常规驱动协议下总会错过的隐藏稳态拉到台前,让多稳态切换变得可控、可编程。本工作提出的模型以及所开发的绝热控制方法为操控多稳态系统提供了普适、鲁棒、可推广的策略。这项研究不仅深化了人们对非线性动力学的认识,也为未来开发基于多稳态的新型信息处理器件(如三进制存储器、动态逻辑门)奠定了物理基础。该工作得到了科技部重点研发计划和国家自然科学基金的资助。

文章信息:
Zhao-xian Chen, Yi Ru, Guang-chen He, Ming-hui Lu, Yan-feng Chen, Yan-qing Lu and Ze-Guo Chen, Nonlinear coupling induced anomalous state transfer and complete multistate excitation via adiabatic control, Phys. Rev. Lett.136, 037202 (2026).
DOI: https://doi.org/10.1103/6bsr-x2v9
文章源于两江科技评论公众号